티스토리 뷰
2023년에 네이버 블로그에 포스팅한 글입니다.
ㅡㅡㅡㅡㅡㅡㅡㅡㅡㅡㅡㅡㅡㅡㅡㅡㅡㅡㅡㅡㅡㅡㅡㅡㅡㅡㅡㅡ
지난번에 이어 이번에는 Temporal noise를 정리해보려한다.
빛의 이중성과 전자라는 아주 작은 세계관에서 일어나는 일들은 확률적으로 발생하게된다.
빛을 수집해 전자를 만들고, 이를 전압으로 바꾸어 신호를 측정하는 CIS에서는 확률적으로 noise가 발생하게된다.
이렇듯 측정할때마다 값이 바뀌는 노이즈를 Temporal noise라고 부르며 아래와 같다.
▶ Temporal noise
- Photon shot noise
- Dark current shot noise
- KTC noise
- 1/f noise
- RTS noise
- Thermal noise
- Photon shot noise
Photon shot noise는 poisson noise라고도 불리며 빛의 입자성으로 인해 발생한다. 하나의 픽셀에 빛이 입사될 때 같은 조도에서도 픽셀에 들어가는 photon의 양은 아래와 같이 달라질 수 있다. 따라서 이러한 랜덤성으로 인해 발생하는것이 Photon shot noise이다.
좀 더 상세한 설명을 보고싶으면 Viewworks 블로그를 참고하면 도움이 될것이다.
(https://visionblog.vieworks.com/knowledge/camera-n-sensor/understanding-of-shot-noise/)
2. Dark current noise
열에의해 전자가 발생해 생기는 노이즈
이러한 이유로 냉각기를 사용
3. KTC noise (Reset noise)
Reset gate에 전압을 인가해 픽셀에 수집된 빛을 떠내려 보낼때 발생하는 noise이다.
3T 구조를 사용하는 CIS는 reset을 취하는 hold frame과 수집된 전하를 측정하는 signal frame이 다르다.
따라서, reset을 끝마친 뒤에 reset gate 아래의 전자들이 photodiode와 FD(floating diffusion)로 나눠지면서 이 또한 랜덤성을 가지게되어 noise가 발생한다.
이를 해결하기위해 4T구조를 사용하여 signal과 hold의 frame을 같게 해준다.
또한, reset을 하더라도 transfer gate가 photodiode와 reset gate 사이에 위치하고 있어 reset gate 아래의 전자가 photodiode로 랜덤하게 나눠질 일이 사라지게된다.
제작년에 내가 블로그에 적어두었던 내용을 보면서 리마인딩 하면 크게 도움이 될것으로 보인다.
또한 reset noie를 KTC노이즈라고 하는 이유는 reset transister가 켜저 전류가 흐르고 있으면 reset transistor는 저항과 같다고 볼 수 있다.
위처럼 저항은 온도에 비례하는 thermal noise를 가진다.
따라서 저항 성분 때문에 발생하는 노이즈를 KTC노이즈 라고 볼 수 있다.
이 노이즈는 어느 순간에 샘플링하냐에 따라 바뀌게 된다. 마치, 위에 reset을 어느 순간에 하냐에 따라 노이즈가 조금씩 변하는 것 처럼.
온도(T)에 영향을 받고저항 역할을 하는 reset TR을 거치고 photodiode(C)의 크기에도 영향을 미치기 때문에 볼츠만 상수 (k)와 같이 적어 KTC노이즈 라고 한다.
필요할 때 리마인딩 하고자 수식은 굳이 적어두지 않겠다.
4. 1/f noise (flicker noise)
자세하게 들어가면 끝도 없고, 굴지의 CIS를 연구개발하는 기업들에서 지속적으로 논문이 나온는 주제가 1/f noise이다.
우선 source follower에서도 TR을 사용해주는데, 이 TR의 실리콘과 산화막 사이의 결함에의해 발생한다.
Silicon과 SiO2 사이에 제대로 결합되지 않은 Dangling Bond[댕글링본드, 이름이 귀엽다 ㅎㅎㅎ]에 전자가 Trap, Detrap되면서 noise가 발생한다. 이렇게 댕글링 본드에 전자가 들어갔다 나왔다 하는것에는 긴 주기가 걸린다.
또한, 1/f noise는 주파수 크기에 반비례하기 때문에 이러한 이름을 가진다. 즉, 저주파일수록 노이즈가 크다.
이 노이즈의 가장 큰 특징으로는 source follower의 면적에 영향을 받는다.
지금 까지 공부해서 알게 된 이유로는 크게 2가지가 있다.
1) SF가 크다면 trap, detrap되는 전자들이 everage out되기 때문에 그 영향이 미비해진다.
2) SF 면적이 작아지면 채널에서 움직이는 전자의 흐름이 빨라진다. 따라서 전자가 trap될 확률이 높아져 노이즈가 커진다.
1/f noise를 줄이기 위한 논문으로는 수많은 논문이 있는데, 다음의 3가지 논문에서 제안한 방법으로 이를 개선할 수 있다.
(1) Sony의 논문
Nakazawa, Keiichi, et al. "3D sequential process integration for CMOS image sensor." IEDM, pp. 30-4, 2021.

(2) DB hitek의 논문
Ha, ManLyun, et al. "Several Process Techniques & Pixel Source Follower Schemes to improve the Pixel Temporal Noise.", IISW, 2019.
(3) Samsung의 논문
Park, Sungbong, et al A 64Mpixel CMOS Image Sensor with 0.56μm Unit Pixels Separated by Front Deep-Trench Isolation, ISSCC, Vol. 65. IEEE, 2022.
5. RTS noise
RTS noise 1/f 노이즈와 같이 silicon surface와 SiO2의 접촉면 사이에서의 댕글링본드 defect으로 발생한다.
비슷한 내용의 노이즈가 이름이 다르게 등장하니 이해하기 조금 어려울 수 있다.
쉽게 정리하면 RTS noise는 1/f noise의 하나의 성분들이다.
Dangling bond가 TR에 1개만 존재할 때, Time domain에서는 RTS noise는 아래와 같이 2개의 포지션을 가진다
전자가 트랩되었을 경우 약 0.975uA, 전자가 디트랩 되었을 경우 약 0.975uA로서 Drain 전류에 영향을 준다.
따라서, 이러한 Drain 전류의 변화는 noise와 직접적으로 연결된다.

만약 Dangling bond가 2개가 존재하면 4개의 포지션, 3개가 존재하면 6개의 포지션.... 이런식으로 늘어나게 된다.
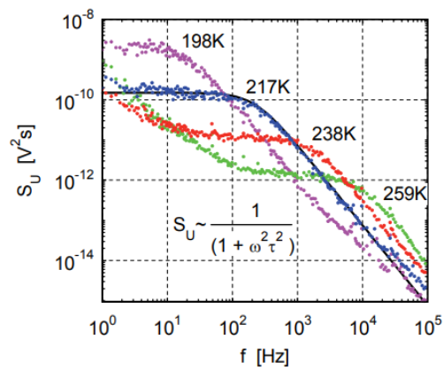
이렇게 여러 포지션을 가지는 RTS noise를 frequency domain에서 Lorentzian spectra를 추가하면 아래와 같은 그림이 된다.
각각의 곡선은 2개의 포지션 (1개의 Dangling bond)에 의해 생성된것이라고 보면 된다.
위 그림의 경우 4개의 곡선을 연결하게되면 1개의 선형적인 그래프를 도출 할 수 있다.
이렇게 도출된 그래프는 1/f에 비례한다. 즉, 1/f noise이다.
따라서, RTS noise는 1/f noise의 하나의 성분임을 확인할 수 있다,
'전공 > Image sensor' 카테고리의 다른 글
Pinned photodiode의 역할 (0) | 2023.04.28 |
---|---|
Noise in CMOS image sensor (FPN) (0) | 2023.04.28 |
3T와 4T의 타이밍도 (0) | 2023.04.28 |
3TR 구조 Photodiode에 수집된 전하의 움직임 (0) | 2023.04.28 |
Quantum Efficiency, Responsivity (0) | 2023.04.28 |
- Total
- Today
- Yesterday
- reverse bias
- RTS noise
- image sensor
- 4t
- DB hitek
- CIS
- doping concentration
- 1/f noise
- IISW 2019
- Auto focusing
- pxiel
- quad color filter array
- pixel
- 이온 주입
- metamaterial
- Tetra^2 픽셀
- Auto-focusing
- Twisted PD
- 한국광학회
- temporal noise
- 슈퍼 QPD
- PDAF
- signal-to-noise ratio
- SNR 10
- channeling effect
- Noise
- ion implantation
- Samsung
- ISOCELL HP2
- conversion gain
일 | 월 | 화 | 수 | 목 | 금 | 토 |
---|---|---|---|---|---|---|
1 | 2 | 3 | 4 | |||
5 | 6 | 7 | 8 | 9 | 10 | 11 |
12 | 13 | 14 | 15 | 16 | 17 | 18 |
19 | 20 | 21 | 22 | 23 | 24 | 25 |
26 | 27 | 28 | 29 | 30 | 31 |